Study Reveals Age-Related Shifts in Women's Attraction Preferences: Older Women Prefer Pierce Brosnan, Younger Women Favor Zac Efron
A groundbreaking study published in the journal *Adaptive Human Behavior and Physiology* has shed light on why older women are often drawn to actors like Pierce Brosnan, while younger women are more captivated by heartthrobs such as Zac Efron.
Researchers from Wroclaw Medical University in Poland conducted an extensive analysis of how age influences women's preferences in potential partners, revealing surprising insights into the evolution of attractiveness over a lifetime.
The study involved 122 Polish women aged between 19 and 70, who were asked to rate a series of photographs of men.
These images were digitally manipulated to alter key traits, including facial masculinity, beardedness, body shape, and muscle mass.
By varying these features, the researchers aimed to uncover patterns in how different life stages influence perceptions of physical attractiveness.
The findings were striking.
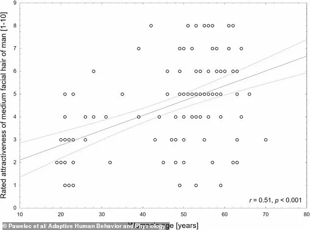
Older women, particularly those who had reached menopause, consistently rated men with fuller beards and slimmer builds as more attractive compared to their younger counterparts.
In contrast, younger women placed a higher value on muscular physiques and more masculine facial features.
Postmenopausal women, however, showed a marked preference for less masculine traits, such as a V-shaped body and less facial hair, which they found less appealing than women in other life stages.
These results suggest that attractiveness preferences are not static but shift in response to biological and social factors.
Younger women, who are typically in their reproductive years, may prioritize traits like muscle mass, which can signal physical fitness and strength—qualities often associated with the ability to protect and provide for offspring.

As women age and reproductive concerns diminish, the focus appears to shift toward health indicators, such as a slimmer build, which may be perceived as a sign of longevity and vitality.
Beards, meanwhile, emerged as a key differentiator.
While younger women generally found them less appealing, older women rated medium to full beards as significantly more attractive.
Researchers speculate that beards may symbolize maturity, social status, or even a sense of stability, which could become more important as women age and prioritize long-term companionship over short-term reproductive success.
The study also highlights the generational divide in preferences, explaining why mothers and daughters might have vastly different tastes in partners.
Dr.
Anna Nowak, a lead researcher on the project, emphasized that these findings reflect "a dynamic interplay between biology and environment." She noted that as women progress through life stages, their priorities evolve, and these shifts are mirrored in their preferences for physical traits.
The research team acknowledges that while their study provides valuable insights, it is not without limitations.

The sample was drawn exclusively from Poland, and cultural differences could influence attractiveness preferences in other regions.
Additionally, the study focused on visual cues and did not account for other factors such as personality, income, or social compatibility, which also play significant roles in mate selection.
Despite these limitations, the study has sparked conversations among psychologists and sociologists about how such findings might inform broader discussions on aging, health, and societal expectations.
Some experts suggest that understanding these preferences could help in developing more inclusive beauty standards or even in tailoring health campaigns that resonate with different age groups.
As the research continues to be debated, one thing is clear: attractiveness is not a fixed concept but a fluid and evolving trait shaped by both biology and the passage of time.
Whether it's the rugged charm of a bearded man or the lean, athletic frame of a younger partner, the study reminds us that beauty, like life itself, is in the eye of the beholder—and the age of the beholder.
A groundbreaking study on evolving preferences in facial hair and body type among women has unveiled surprising insights into how age influences attraction.
Researchers found that as women grow older, their priorities shift from traits linked to fertility, such as muscularity and clean-shaven looks, to characteristics associated with maturity, stability, and social dominance.
This shift is particularly evident in the growing appeal of beards and slimmer builds among older women, a trend that challenges conventional notions of beauty and desirability.

The study, which analyzed data from thousands of participants, revealed that older women tend to find facial hair increasingly attractive as they age.
This preference aligns with the idea that beards are perceived as markers of older age, a trait that may resonate more with women who are no longer focused on reproductive goals.
In contrast, younger women, who are more likely to prioritize traits that signal genetic fitness and physical strength, often favor clean-shaven faces and muscular physiques.
This dichotomy is exemplified by the differing preferences for actors like Zac Efron, known for his chiseled features, and Pierce Brosnan, whose bearded appearance and leaner frame have become more appealing with age.
From an evolutionary psychology perspective, the findings suggest that as women approach menopause and their reproductive functions decline, their priorities in potential partners shift.
Muscularity, which once signaled the ability to protect offspring and pass on strong genes, may become less important.
Instead, traits like a leaner build and beards—often associated with maturity, confidence, and social dominance—gain traction.
Researchers noted that a slimmer physique could be interpreted as a sign of approachability and health, while excessive musculature might be perceived as intimidating, particularly for older women who are less concerned with reproduction and more focused on long-term stability.
The study also ties these preferences to the 'grandmother hypothesis,' a theory in evolutionary biology that posits older women redirect their energy from seeking mates to supporting their families and grandchildren.
This shift in focus may explain why older women are more drawn to partners who exude reliability and emotional maturity rather than physical prowess.
As one of the researchers explained, 'When reproductive goals recede, traits that signal aggression or genetic superiority become less vital.

Instead, qualities like stability and social competence take center stage.' Recent surveys in the UK have reinforced these findings.
A poll of 2,500 women revealed that seven in 10 prefer a man with facial hair over one with a sculpted torso.
The 'outlaw moustache,' famously sported by actor Pedro Pascal, topped the list of preferred facial hair styles, with over 20% of respondents citing it as their favorite.
Meanwhile, the clean-shaven look, once considered the epitome of modern masculinity, has fallen out of favor, ranking a dismal ninth out of 10 in the survey.
Dating expert Sylvia Linzalone, who analyzed the survey results, emphasized that the shift in preferences reflects a broader cultural movement toward authenticity. 'The days of the six-pack being the ultimate turn-on are fading fast,' she said. 'Facial hair gives a man instant character—it suggests confidence, maturity, and a bit of mystery.
Women are craving authenticity over aesthetics.' This sentiment underscores a growing appreciation for traits that signal depth, experience, and emotional stability, particularly as societal expectations around beauty and masculinity continue to evolve.
The implications of these findings extend beyond personal preferences, touching on how cultural norms and evolutionary psychology intersect.
As women age, their changing priorities may influence not only their own relationships but also broader societal attitudes toward aging, attractiveness, and the value of traits traditionally associated with youth.
Whether these trends will continue to shape fashion, media, and dating culture remains to be seen, but one thing is clear: the definition of attractiveness is far more nuanced than ever before.
Photos